作者 | 刘陈杰 编辑 | 苏琦
更加注重微观主体的改革创新和改革机制摸索,尽量考虑各个阶层的利益诉求,才能使得改革的动力机制更加稳健,造成的社会影响更为积极和谐
2025年作为“十四五”收官之年,中国国内生产总值(GDP)规模预计迈向140万亿元台阶,为后续发展奠定坚实基础。而2026至2030年的“十五五”时期,恰是衔接“十四五”成果与2035年现代化目标的关键五年,其合意GDP增长速度的界定关乎战略落地实效。未来一个阶段,中国面临人口结构深刻变化、外部发展环境明显改变和新一轮人工智能发展浪潮大踏步发展的复杂新环境。同时,以往拉动经济增长的房地产相关产业和地方债务推动型增长模式式微。那么,探寻未来一个阶段的合意增长速度,安排好供给侧和需求侧两方面的协调,关乎供给侧结构性改革的实质推进和国家下个阶段的经济社会发展。
本文主要从人口红利、资本存量和全要素增长率等方面入手,基于新古典增长方程,对中国经济在下一阶段(2026年-2030年)时期的合理增速目标进行了测算。结合中国实际和新一轮科技革命的时代背景,本文综合考虑了:(1)人工智能技术进步对经济增速的影响;(2)部分时期应对有效需求不足情况下,政策的“量”和“度”等,探寻下一阶段中国经济的合意总量增长速度。我们深知,未来一个阶段的中国经济,总量规模和结构分化同样重要,行业结构的分化在一定程度上可能成为更为显著的特点。精确认识合意增长速度和结构机会,有助于把握好供给侧结构性发展和需求侧营造稳定环境的协调,防范短期经济出现过度波动的风险,提升民众在经济增长和结构性机会的获得感。
下一阶段中国经济潜在增速测算
在基本经济和社会制度较为平稳的时期,一个阶段的经济潜在增速主要受到人口、资本存量、技术进步等要素影响。2012年以来,中国劳动力结构变化,劳动人口顶点出现,资本回报率降低,近五年中国的潜在增速中枢系统性地从2015年-2020年的6.5%左右降低至目前的5%左右。本文的第一部分,我们主要运用新古典的增长方程,从人口红利、资本产出效率、技术进步等方面,试图测算下一阶段中国的合意增长速度。
一般而言,用生产函数法估算潜在产出和潜在经济增速通常选用柯布—道格拉斯(C-D)生产函数,该函数能够较好地估算出各投入要素(资本、劳动和技术进步)对经济增长的贡献度,其具体的函数形式为:

其中,Y代表总产出,K代表资本存量,L代表劳动人口,α和β分别代表资本和劳动对总产出的弹性,A代表全要素生产率。
两边取对数,可以得到:

通常假设生产函数为常规模弹性,即α+β=1,那么生产函数可以变形为:

关于资本存量,本文采用永续盘存法估算,其公式为:

其中,Kt代表t时期的资本存量,Kt-1代表t-1时期的资本存量,即上一期的资本存量。δt代表t时期的折旧率,It代表t时期的净投资。本文按照历史文献的研究成果,根据不同时期选取不同的折旧率,其中1978年-1990年为5%,1991年-2000年为6%,2001年-2010年为6.5%,2011年-2020年为7%,2020年-2025年为7.5%,2026年-2030年为8.0%。关于未来的新增投资增速,我们采用中国资本回报率(ROC)的估计结果倒推。我们主要按照白重恩等(2007)对资本回报率的测算方法扩展至2024年,被解释变量为新增投资增速(I),对1982年-2024年的时间序列数据进行估计,可以得到如下基本方程:It=-6.67+0.96×ROC。其中t值分别为19.85和2.38。
我们按照2008年-2024年的年均下降速度(0.73%)外推未来10年的资本回报率情况,代入新增投资增速方程,可以得到2026年-2030年期间的新增投资增速在5.2%左右。根据当期固定资本存量、折旧率和新增投资数据,我们可以测算得到2026年-2030年中国的资本存量数据。
关于劳动力(L)的数据,主要参考蔡昉(2012)年的分析,即15岁-59岁劳动年龄人口持续减少(根据其人口方程的测算,2026年-2030年劳动年龄人口平均增长率为-0.92%)。
关于全要素生产率。我们利用高路易(Louis,2009)的数据,通过对趋势全要素生产率的HP滤波分解,我们得到了中国2025年-2030年的趋势全要素生产率增长率。可以看出,2011年-2015年中国平均每年的TFP增长率约为3.20%;2016年-2020年平均每年TFP增长率可能下降为2.70%,2021年-2025年平均每年TFP增长率可能下降为2.30%,2026年-2030年平均每年TFP增长率可能下降为2.0%。α和β分别表示资本和劳动对总产出的弹性,且我们假设生产函数为常规模弹性,因此α+β=1。我们假设资本总产出的弹性α保持不变,即运用历史数据测算值作为未来的预测值。

通过对中国资本存量、劳动力要素、全要素生产率三个方面的测算,我们可以估算出“十二五”时期(2011-2015)中国平均潜在GDP增长率约为7.62%,“十三五”时期(2016-2020)即新常态下中国平均潜在GDP增长率将进一步下降到6.33%,“十四五”时期(2021-2025)中国平均潜在GDP增长率将进一步下降到5.25%左右,“十五五”时期(2026-2030)中国平均潜在GDP增长率将进一步下降到4.63%左右。

从未来一段时间的人口红利预测、资本回报率外推、技术进步的外推预测来看,按照新古典增长方程,下一阶段中国潜在增长速度约为4.63%左右。值得注意的是,新古典增长方程对潜在增速的预测有一些值得商榷的地方,即没有深刻考虑未来一个阶段可能进行的经济制度上的改革成效,也没有深刻捕捉到未来一个阶段科技进步对中国经济领域技术进步的促进作用。因此,新古典增长方程预测的结果可以作为一个经济关键要素线性外推的参考来看待。
基于人工智能发展的技术进步对未来合意经济增速的综合考虑
人工智能通过技术赋能、结构转型和政策协同,正在重塑中国经济增长的“动力矩阵”。未来五年,若能有效破解技术瓶颈、优化制度供给、防范转型风险,AI有望推动中国经济在更高的合理区间运行,为2035年基本实现现代化奠定坚实基础。
经济的高质量发展,意味着经济的总量增速需要维持一定的增速。随着技术的进步,人工智能与经济社会各领域正在深度融合,其核心在于供给和需求相关产业的智能化,即在产业数字化基础上通过人工智能技术推动生产和消费的智能化变革:利用数字技术将分散或孤立的生产者、消费者等以产业链、价值链等方式连接起来,形成联动发展,形成让数据要素成为新资源的经济社会发展新形态。
首先,数字要素将纳入传统生产函数,作为重要的要素禀赋,成为左右经济增长的重要因素。农业社会的基本生产要素是土地和劳动力,工业革命的出现将资本变成重要的生产要素,那么,人工智能为代表的科技革命将使得数据成为新的生产要素。随着数据处理能力的提升,生成式思考能力的加深,数据要素的积累和优化等,人工智能的发展将深度影响经济增长的趋势。
第二,技术进步推动的供给创新将创造需求。人工智能的发展过程将催生新场景、新需求,带来人们的生活范式变革,改变和增加居民、政府的消费需求,促进经济的循环,并重塑衣食住行、医疗和养老等各种传统生活方式和相关产业赛道。历史上来看,新技术、新产品的出现将逐步改变人们的生活方式及理念,创造出新的需求,即新的供给将创造需求。例如电气革命带来冰箱、彩电、观影等新需求,人工智能的发展将促进生产和生活向智能化发展。
具体而言,人工智能主要通过三条机制促进经济增长,进而应对老龄化、劳动力成本提升、环境制约等因素对经济增长的冲击。第一,人工智能可以不断提高生产的自动化和智能化程度,越来越多地实现资本对劳动的替代,从而减轻劳动力成本提升、环境资源约束压力等因素对经济增长的不利影响。第二,人工智能通过内生性的技术进步,进一步的资本深化,可以提高资本回报率,进而提高储蓄率和投资率,以减缓人口结构红利式微背景下储蓄率和投资率下降对经济增长的冲击。第三,人工智能通过对生产方式、节省成本和智能生成等方面,可以促进全要素生产率的提升,从而进一步对冲其他要素禀赋的变化对经济增长的冲击。传统的宏观经济模型认为,生产函数普遍面临规模效应递减、资本边际效益递减等结构性问题,通过人工智能在生产端的大规模应用,智能生成式的思考和革新将使得一批不需要过度考虑激励问题的类人脑智能群体嵌入生产的各个过程,技术进步和组织方式将更加智能化和高效化。
我们参考Prettner(2019)和陈彦斌、林晨(2019)的研究,构建动态一般均衡模型,将资本分为住房资本、基建资本和实体经济资本三类实体资本。从理论上说,伴随着人工智能的不断发展和推广使用,我们分类的三类资本都会受到人工智能的影响。不过,为了简化模型,本文在基准模型中只表达了人工智能对实体经济资本的影响,住房资本和基建资本与人工智能之间的作用做了简化处理,即便人工智能的发展会对这两类资本起到直接和间接的影响。
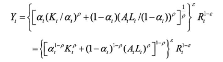
我们的动态一般均衡模型主要包括企业部门、居民部门和政府部门。参考Aghion(2017)的做法,我们将含有人工智能发展的生产函数设定为:

其中,At表示劳动增强型技术进步,Kt是实体经济资本,Lt是劳动投入,ε是中间品的产出弹性,实现智能化生产任务的占全部生产任务的占比为αt,即刻画人工智能发展对生产活动的影响,即αt越大,代表人工智能对生产活动的影响越大,对产出的影响越大。我们用“先凸后凹”的Logistic函数来刻画人工智能的影响,主要原因是人工智能在发展初期,其在全社会的普及速度相对较慢;伴随着人工智能的发展,其普及速度快速升高;当达到一定程度之后,人工智能的发展态势将趋缓,这一特征符合Logistic函数的特点。
关于居民部分、企业部门和政府部门的刻画,我们采取经典的居民效用最大化,企业利润最大化和政府兼顾增长和服务的函数形式来表达经济体三部门的行为。当动态一般均衡模型经济体达到均衡时,劳动力市场出清,即居民部门的劳动供给总量等于生产部门的劳动需求总量,企业部门利润最大化,政府部门函数效用最大化:通过求解企业部门,居民部门最优化问题的一阶条件,再加上各类资本的变动方程,可以得到一般均衡模型的均衡系统。
我们发现,由于基准模型没有考虑老龄化的影响,测算得出的潜在增速与现实比可能偏高,但仍可以发现,没有人工智能的促进作用时,潜在增速在未来10年下滑的速度较快。人工智能的发展,即便我们采用非常保守的假设影响下,其将显著提升技术进步和规模经济,使得潜在增速下降速度趋缓,且在一定时期保持较为稳定的发展。


我们的研究发现,人工智能的确促进潜在增速保持稳定,具体而言,其可以优化资本结构,提高实体经济资本占比;降低住房资本占比和基建资本占比,进而实现改善居民消费和促进经济增长的双重目标。过去增长模式中,地方政府债务推动的基建增长、房地产行业是拉动经济非常重要的两大方面。按照我们的测算,地方政府债务拉动和房地产刚需和改善型需求在未来10年将逐渐式微(刘陈杰,2022),老的经济增长模式出现问题,时代需要新的高质量增长的发展模式。人工智能可以通过提高生产智能化程度和技术进步速度来增强实体经济的吸引力,吸引资金从房地产领域流向实体经济,从而减轻住房资本对消费的挤出效应,并增强实体经济资本对经济增长的拉动效果。
更重要的是,人工智能可以增强经济内生增长动力,从而减弱地方政府依靠基建投资“稳增长”的动机,由此减轻基建资本对消费的挤出效应,并进一步增强实体经济资本对经济增长的拉动效果。考虑到未来劳动力成本上升、环境资源压力上升等因素对中长期经济增长的压力,从经济学的范畴内来看,我们应该重视人工智能对经济增长的促进作用,大力发展人工智能,特别是和生产部门融合发展。
从2026年到2035年,无论情景如何,潜在增速整体呈下降趋势,这是人口老龄化、资本边际递减等结构性约束影响的必然趋势。但在不同AI渗透率假设下(10%、15%、20%),经济增长率均显著高于基准情景(Base)。到2035年,基准情景下的潜在增速降至约4.2%,而AI渗透率达到20%的情景下,可维持潜在增速5.8%左右,显示AI普及能够有效托底经济。AI能有效延缓潜在经济增速下滑,但有两个前提:一是存在“阈值效应”——在模型设定中,当AI资本存量占国内生产总值(GDP)比重超过2%,对全要素生产率(TFP)的边际拉动会从0.1个百分点跃升至0.4个-0.5个百分点。
当然,我们的模型研究还存在很多的不足之处,比如对人口结构的变化并没有重点考察,使得模型刻画的潜在经济增长水平可能偏高;并没有考虑非金融企业和地方政府部门的债务问题,没有考虑发展人工智能的融资问题,投入和产出的分配问题;同时,人工智能发展迅速,很可能存在对传统生产函数的重大改变,比如出现会思考的机器人等替代人类劳动的现象。作为初步的积极探索,我们将继续改善模型的设置,适应人工智能的发展。
综上所述,我们从新古典增长方程测算经济潜在增速,考虑人工智能发展对经济增长的促进作用,中国未来一个阶段的合意经济增速将随着资源禀赋、环境要求、增长限制等因素的变化而变化。根据我们的测算,中国经济增长未来五年的合意经济增速将从2021年-2025年的5.25%逐步降至2026年-2030年的4.63%附近,且增长趋势缓慢下降。人工智能的发展,超过一定“阈值”之后,可能使得中国在“十五五”期间的实际经济增速要高于新古典模型的测算。
同时,为了应对部分时期可能出现的局部有效需求不足的情景,我们将GDP分为资本收益和非资本收入两个部分,按照目前的资本收益(32万亿元)和全社会总生产性实物资本存量(675万亿元)测算实体经济投资回报率。在按照过去三年实体经济投资回报率平均下滑速度来推算未来几年的预测水平,我们发现,在新质生产力领域出现重大技术突破和产业跃迁之前,我们可能会因为持续下滑的实体经济投资回报率而出现投资、消费等领域的有效需求不足。具体规模的测算,每年为实体经济新增3万亿-4万亿元有效需求,保证国民经济正常循环,以稳定增长的时间,创造足够的新增就业,换取新质生产力发展的空间。同时,我们也认识到中国经济潜力足、韧性强,增速不会出现急剧下跌。保持经济增长活力、维持改革的积极性,需要调动经济体微观参与主体和政策制定者之间的“激励相容”制度。
保持今后一段时间的经济增长和经济活力,要充分发挥“强制性制度变迁”的后发优势,积极调动“诱致性制度变迁”的主观能动。新制度经济学从变迁发起者的角度区分制度变迁的模式。变迁者选择制度安排的主要根据是制度变迁的成本和收益。如果两种制度安排提供的服务数量相等,那么交易费用低的制度安排或者能提供预期收益多的制度安排可能会被采用。这种以利益驱使为基点的变迁被称为“诱致性制度变迁”(inducing institutional change)。但在现实中,制度的变动并非都是受新的获利机会所驱使,有的制度变迁是由国家强制推行的,这种以权力推动为基点的变迁被称为“强制性变迁”(enforcing institutional change)。
在诱致性制度变迁模式下,人们可以在法制框架下自由追逐与自身利益相关的合法利益,会为了响应获利机会,自下而上地创设或改变制度。这种变迁花费的时间较长,但由于变迁主体对于新制度的发展路径与效益有明确的预期与理解,所以能带来巨大的经济和社会效应;相比较而言,强制性变迁是一种自上而下的变迁过程,可能在较短时间内完成。变迁主体是国家(经由政府完成),国家发动制度变迁不是简单由获利机会促使的,而是常常受高层权力执掌者的知识积累、变迁给其带来的“成本-收益”比较及实施能力等的影响。
纵观中国四十多年的改革开放,大局和方向性的谋划基本属于“强制性制度变迁”的范畴,最高领导集体审时度势,当机立断开启并坚持改革。相比而言,细节和局部的制度变迁更多来自于各类微观主体的试验和创新,大体属于“诱致性制度变迁”的范畴。过去的改革过程中,经济增速较高,风险整体较小,全民能较为顺畅地分享经济发展和改革红利,因此很多改革措施与各阶层之间的利益趋于一致,改革的动力机制也是激励相容。
未来一段时间,中国经济可能逐步回落到中高速增长,经济和金融风险增加,资产和金融领域泡沫化趋势显现,实体经济经营困难。当经济的“蛋糕”增速减缓,资产泡沫促进阶层固化的时候,需要更加注重微观主体的改革创新和改革机制摸索,尽量考虑各个阶层的利益诉求,这样才能使得改革的动力机制更加稳健,造成的社会影响更为积极和谐。自上而下的“强制性制度变迁”,结合我们传统的体制和后发优势,有利于在一些关键领域迅速看到改革的成效。广大微观主体更多地发挥诱致性制度变迁,照顾到最具有市场经济活力部分的积极性,给予这部分活力以改革创新的时间和空间,可能是未来一段时间中国经济增长持续向上的基础之一。
(作者为望正资本全球宏观对冲基金董事长、中国首席经济学家论坛成员;编辑:苏琦)